Кризисный аудит Яндекс.Директа для салонов свадебной и вечерней моды

11 лет опыта управления
контекстной рекламой
Сертифицированный специалист
Яндекс Директ и Google Ads
Гарантия роста лидов — иначе
верну оплату за настройку
Работаю с бюджетами
500 тыс – 5 млн ₽ в месяц

Как агентство контекстной рекламы чуть не обанкротило успешный свадебный салон

Это реальный кейс: салон свадебных, вечерних и выпускных платьев в городе-миллионнике, один из лидеров рынка, с бюджетом около 450 000 ₽ в месяц на Яндекс.Директ.

Снаружи всё выглядело хорошо: сильный бренд, плотная запись на примерку, активные соцсети. Но по деньгам ситуация была совсем другой: рекламные расходы за 5 месяцев выросли примерно на 30 %, а прибыль — почти нет. Собственник оказался на грани кассового разрыва.

Ниже — разбор аудита Яндекс Директ: где именно реклама перестала отбиваться, что нашлось на стороне сайта и аналитики и какие выводы может сделать любой владелец свадебного салона.

Быстрая самопроверка за 20 минут

Если перед подробным аудитом хотите сделать лёгкий «чек-ап» своего Директа, посмотрите инструкцию как собственнику бизнеса найти 90 % типичных ошибок в Яндекс.Директе за 20 минут с GPT. Там показано, как быстро пробежать по ключевым отчётам и оценить масштаб проблемы с помощью ИИ.

В какой точке мы встретились

Чтобы было понятнее контекст аудита:

  • ниша — свадебные, вечерние и выпускные платья, сегмент средний+/премиум;
  • салон — один из лидеров в своём городе;
  • основной канал привлечения — Яндекс.Директ;
  • бюджет на рекламу дорос до ≈450 000 ₽ в месяц;
  • за последние 5 месяцев расходы выросли примерно на 30 %, а доходы бизнеса — всего на ~5 %.

В отчётах агентства всё выглядело «зелёным» — конверсии растут, стратегии обучаются, охваты шире. Но собственник смотрит на P&L и видит:

«Расходы улетают вверх, а прибыль почти не движется. Формально мы не в минусе, но стоим на краю кассового разрыва».

Если у вас в салоне похожая картина — расходы растут, а прибыль стоит — это повод не запускать «ещё одну кампанию», а делать кризисный аудит: честно посмотреть, что работает, что нет и можно ли ситуацию вытянуть.

Где реклама перестала отбиваться

2.1. Сводный срез: бренд против остальной рекламы

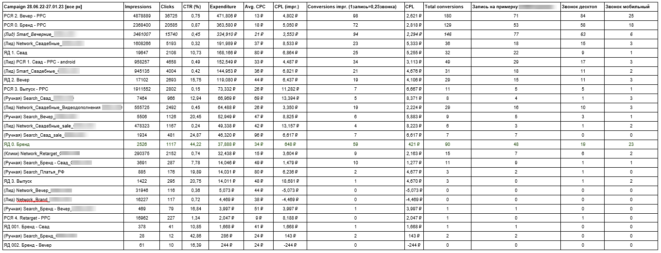
Первым делом я выгрузил сводный отчёт по всем кампаниям за период работы новой команды: с 28.06.22 по 27.01.23.

В отчёт добавили два ключевых показателя:

  • важные обращения — только то, что реально даёт деньги:
    • запись на примерку;
    • звонки с сайта (с десктопа и смартфона);
    • клики по номеру телефона с мобильной версии.
  • CPL (стоимость важного обращения) — расход / количество таких обращений.
Скриншот сводного отчёта по кампаниям в Яндекс.Директе для свадебного салона с колонками «важные обращения» и CPL.
Сводный отчёт по кампаниям: видно долю бренда, важные обращения и CPL.

Картина получилась очень показательной:

  1. Практически весь «здоровый» результат давал брендовый трафик.
    Кампании по запросам вида «салон клиента + город» тянули на себе львиную долю обращений по адекватной цене.
  2. Новые кампании агентства либо еле-еле отбивались, либо уходили в минус.
    При этом именно на них приходился основной рост бюджета.
  3. В отчётах брендовую и небрендовую рекламу смешивали.
    Собственнику показывали общие конверсии без явного разделения, где салон получает «своих» клиентов, а где действительно расширяет спрос.
Что может сделать собственник
  • Попросить у подрядчика сводный отчёт за 3–6 месяцев с колонками «важные обращения» и CPL.
  • Отдельно выделить кампании по запросам «салон клиента + город» и смотреть на них как на отдельный блок бренда.
  • Задать прямой вопрос: «Сколько мы платим за уже тёплых клиентов, которые и так нас ищут?»

Если хотите глубже разобраться, как разговаривать с агентством и на что смотреть в отчётах, посмотрите материал как выбрать директолога и агентство по контекстной рекламе. Там я разбираю критерии и вопросы, которые помогают отделить «крутят кампании» от управления маркетингом.

2.2. Когда CPL растёт месяц за месяцем

Следующий шаг — помесячный срез по ключевой кампании-лидеру по расходу.

Помесячное значение CPA для кампании в Яндекс Директ
Помесячное значение CPA для кампании (Лид) Smart_Вечерние.

На нём видно, как с каждым месяцем растёт CPL, причём скачкообразно. При том же уровне заявок салон постепенно платит всё дороже за каждое обращение.

Причины:

  • нет жёстких ограничений по стоимости лида;
  • важные и второстепенные цели смешаны;
  • алгоритмы «учатся» на том, что им проще отдать, а не на том, что даёт деньги.

Так формально «кампания живёт», но в P&L владелец видит, что маржа съедается ростом стоимости заявки.

Про то, как подключать ИИ к таким разборам и экономить своё время, подробно пишу в статье как использовать ИИ, чтобы увеличить эффективность рекламы в Яндекс.Директе — там показано, как использовать модели как «второго пилота» в аналитике.

2.3. Логи изменений: кто вообще работает с аккаунтом

Отдельный пласт — история изменений в Директе.

Пример как можно посмотреть журнал действий агентства в Яндекс Директ
Логи изменений в рекламной кампании с наибольшим бюджетом.

На скрине хорошо видно, что при расходах сотни тысяч ₽ в месяц бывают недели без заметных действий. То есть деньги тратятся ежедневно, а работы с гипотезами, ставками и структурами почти нет.

Проверить это может любой собственник: достаточно зайти в «Историю изменений» в Яндекс.Директе и посмотреть, как часто и что именно делает подрядчик.

Мини-чек-лист по истории изменений
  • Есть ли правки хотя бы 1–2 раза в неделю при активном расходе?
  • Видны ли структурные изменения (новые кампании, A/B-тесты, корректировки)?
  • Можете ли вы связать эти изменения с конкретными гипотезами и целями по деньгам?

Как реклама била мимо аудитории и смысла

3.1. Поисковые кампании в Директе, которые нацелены на аудиторию с желанием "сэкономить любой ценой"

В аккаунте была активная кампания с акциями и скидками. Формально — «поддержка спроса». Фактически — бюджет уходил на аудиторию, которая не совпадала с реальными ценами салона (платья 30 тыс. рублей и выше).

Пример кампании с акциями и скидками, CPC и цена заявки существенно выше среднего в Яндекс Директ
Статистика по кампании в разрезе уровня дохода аудитории - чем выше уровень дохода, тем выше цена лида.

Проблема в том, что салон работает в среднем+/премиум-сегменте. Сильный упор на скидки в сети привёл к тому, что объявления притягивали аудиторию, которая ожидала «максимально дёшево», а не готова платить за премиальные платья.

В результате CPL по таким кампаниям сильно выбивался вверх, а по факту они мало влияли на продажи.

3.1. Сетевые кампании со скидками, которые не про ваш ассортимент

В аккаунте была отдельная кампания «(Лид) Network_Свадебные_sale_***». На сводной статистике она показывала CPA около 8 223 ₽ — один из худших результатов среди новых кампаний.

Идея этой РК была в том, чтобы бить по аудитории, которая интересуется скидками и распродажами свадебных платьев. Для салона, где платья по умолчанию не дисконтерного сегмента, такую кампанию вывели на 7-е место по расходу среди новых запусков.

Скриншот кампании Network_Свадебные_sale: объявления в сетях Яндекс.Директа со скидками до 70 % для свадебных платьев.
Пример объявлений одной из самых неэффективных кампаний с упором на скидки до 70 %.

Все объявления в этой кампании крутились вокруг распродаж: «скидки до 70 %», «выбирайте самое лучшее», «успейте забронировать». Это классический приём повышения CTR — говорить про бесплатное, большие скидки и выгоду.

Для премиального салона свадебных, вечерних и выпускных платьев такая подача приводит к несовпадению ожиданий: пользователи кликают из-за агрессивной скидки, а видят цены и ассортимент, которые ближе к среднему+/премиум-сегменту. Часть аудитории просто отваливается, не доходя до примерки.

Важно понимать, что в РСЯ высокая кликабельность почти не снижает цену клика так, как в поиске. Зато она увеличивает общий расход. В итоге кампания получает «феноменальный» CTR и при этом даёт один из самых дорогих лидов в аккаунте.

В этом кейсе мы просто убрали упор на скидки в сетевых кампаниях, перезапустили объявления под реальный уровень цен салона и аккуратнее подобрали аудитории. Уже на этом шаге CPL ушёл вниз, а часть бюджета удалось перераспределить в более предсказуемые связки.

3.2. Перемешанные смыслы в поисковых группах

При детальном разборе групп объявлений оказалось, что в одной и той же группе перемешаны:

  • запросы беременных невест;
  • запросы свидетельниц и гостей;
  • запросы женщин, выходящих замуж повторно;
  • запросы аренды платьев, хотя салон их продаёт, а не сдаёт.
Список поисковых запросов: первая часть — видны запросы по аренде и другим нецелевым темам. Список поисковых запросов: вторая часть — дополнительные запросы про аренду и нецелевую аудиторию.
Список поисковых запросов: видно платный трафик по аренде и другим нецелевым темам.

В такой «свалке» алгоритму сложно понять, кого именно нужно приводить. Невозможно написать объявление, которое будет одновременно точным и для беременной невесты, и для свидетельницы, и для клиента, который вообще ищет аренду.

Что можно сделать уже сегодня
  • Открыть 2–3 группы в поиске и проверить, не превратились ли они в набор из десятков несвязанных запросов.
  • Отдельно проверить, не покупаете ли вы платный трафик по запросам, которые вообще не про ваш продукт: аренда, детские платья, другой город и т.п.

Отдельно про защиту бюджета от нецелевых кликов и борьбу со скликиванием я подробно рассказываю в кейсе как мы экономили до 500 тыс. ₽ в месяц на защите от скликивания.

3.3. Устройства: когда мобильный трафик в 2,5 раза дороже

Ещё один простой, но показательный срез — отчёт по типам устройств. На нём видно, как распределяются показы, клики, расходы и стоимость цели между смартфонами, ПК и планшетами.

Отчёт по типам устройств в Яндекс.Директе: сравнение показов, расходов и стоимости цели между смартфонами, десктопами и планшетами для свадебного салона.
Разница в эффективности между смартфонами, ПК и планшетами: на мобильных цена цели почти в 2,5 раза выше.

По данным этого отчёта:

  • на смартфонах расход составил значительную часть бюджета, но CPL оказался около 7 700 ₽;
  • на десктопах CPL был примерно 3 200 ₽ при сопоставимом количестве конверсий;
  • планшеты давали мизерный объём и почти не влияли на результат.

При этом в аккаунте не было ни одной корректировки ставок по устройствам — система платила за клик с мобильного и с десктопа почти одинаково, хотя стоимость важного обращения отличалась в разы.

Что дал этот срез по устройствам
  • Мы ввели поэтапные корректировки: снизили ставки по мобильным, усилили десктоп, урезали планшеты.
  • Часть объявлений адаптировали под сценарий просмотра с ПК, где невесты чаще выбирают платья основательно, а не «на бегу».
  • В результате удалось перераспределить около 30 % бюджета в пользу более эффективных устройств без заметной просадки по заявкам.

Для собственника вывод простой: даже один отчёт по устройствам может показать, где вы платите в разы больше за ту же самую заявку, и дать быстрый резерв экономии.

Что оказалось на стороне сайта и аналитики

Когда вы тратите на рекламу сотни тысяч ₽ в месяц, любой «мелкий» косяк на сайте или в аналитике — это уже про деньги.

4.1. Чаты и цели

Для свадебного салона сильную роль играют чаты (WhatsApp, Telegram) и клики по телефону с мобильной версии сайта.

Главная страница сайта свадебного салона: крупные кнопки чатов занимают заметную часть экрана.
Главная страница: заметный блок с крупными кнопками чатов.

Однако в Метрике:

  • не было отдельной цели на чат;
  • часть целей дублировала друг друга и рисовала «красивую статистику», но плохо отражала реальные заявки.

В отчётах всё выглядело отлично — много конверсий, высокая «эффективность». Но система считала конверсией и скроллы, и клики по декоративным элементам, и промежуточные шаги, а не только реальные обращения.

4.2. Запись на примерку глазами невесты

Следующий шаг — пройти путь записи на примерку как обычная невеста.

Что оказалось по факту:

  • после отправки формы не было чёткой фразы вида «Ждём вас 27 января в 10:00 на примерку»;
  • не было нормального письма или SMS-подтверждения;
  • интерфейс оставлял ощущение, что в один слот салон может принять только одну невесту, хотя в реальности это не так;
  • часть клиентов не была уверена, что запись вообще прошла.

Часть этих проблем не видна в «сухой» статистике, но напрямую влияет на количество реально состоявшихся примерок.

4.3. Технический бардак в аналитике

В коде сайта и в системах аналитики тоже накопился хаос:

  • висят старые и неиспользуемые пиксели ремаркетинга;
  • используется устаревший Universal Analytics, который снимается с поддержки;
  • нет единого центра управления тегами — Google Tag Manager настроен частично и непоследовательно.

Рекомендации были простыми, но обязательными:

  1. Навести порядок в коде: убрать лишние счётчики, оставить только то, что действительно используется.
  2. Вынести всё в нормально настроенный Google Tag Manager: Метрику, GA4, основные события и цели.
  3. Чётко договориться, какие действия считаются лидами, а какие — вспомогательными событиями.
Мини-чек-лист для собственника
  • Попросите у подрядчика список целей: какие из них считаются реальными заявками.
  • Убедитесь, что есть отдельная цель на чат и клики по телефону.
  • Пройдите путь записи на примерку сами — так, как это делает ваша невеста.

Что изменилось после кризисного аудита

5.1. Первые 72 часа: остановить основные потери

Задача первых трёх дней — не идеальная структура, а быстро остановить самые очевидные потери.

Что было сделано:

  1. Собрали сводный отчёт за 3–6 месяцев: расход, важные обращения, CPL.
  2. Жёстко почистили:
    • отключили или сильно урезали кампании с запредельным CPL;
    • временно остановили связки, которые не могли обучиться из-за нехватки данных;
    • убрали эксперименты, которые проще пересобрать с нуля.
  3. Разделили бренд и небренд:
    • бренд вынесли в отдельные кампании;
    • перестали подкрашивать им статистику остальных направлений.
  4. Внесли первые корректировки:
    • снизили ставки по дорогим сегментам (устройства, гео);
    • приоритизировали связки с адекватной ценой заявки.

5.2. Горизонт месяца: перестройка системы

Дальше началась более спокойная фаза — перестройка всей системы продвижения на горизонте примерно 4–6 недель.

  • Пересобрали ключевые кампании. Бренд, поиск, автоформаты и сеть разделили по ролям, добавили «жёсткие» минус-слова, вычистили запросы про аренду, другие города и смежные, но нецелевые темы.
  • Настроили приоритеты по бюджетам. Зафиксировали долю бренда и поиска, ограничили сетевые кампании и эксперименты, ввели верхний порог по CPL для каждой группы кампаний.
  • Навели порядок в аналитике. Привели в норму цели в Метрике, вынесли события в Tag Manager, договорились, какие действия считаются лидами, а какие — просто поведенческими метриками.
  • Синхронизировались с продажами. Обновили скрипты для менеджеров, настроили быстрый разбор заявок и фиксацию статусов «примерка состоялась / не состоялась».

Уже к концу первого месяца салон увидел первые понятные сдвиги по цифрам:

  • CPL перестал расти и вернулся в рабочий диапазон, сопоставимый с прошлыми «здоровыми» периодами;
  • долю самых дорогих и бесперспективных кампаний в бюджете удалось сократить почти вдвое;
  • общие расходы на рекламу снизили примерно на 15–20 % от пиковых значений при сохранении сопоставимого объёма заявок.

В течение следующих 2–3 месяцев задача была уже не «тушить пожар», а удержать результат и аккуратно масштабировать сильные связки. На этом этапе собственник принял решение изменить формат работы с подрядчиками: текущую команду по Директу постепенно вывели, а на замену нашли исполнителей, готовых работать в рамках новой системы — с понятными CPL-ограничениями, ежемесячным P&L и регулярными аудитами.

В итоге салон не только вышел из пике и избежал кассового разрыва, но и получил устойчивую систему: понятно, какие кампании можно масштабировать, какие держать в минимальном режиме, а какие честно закрывать, если они не отбиваются в деньгах.

Как понять, что ваш салон в похожей ситуации

Ниже — чек-лист по мотивам кейса. Он поможет понять, когда стоит задуматься о кризисном аудите.

6.1. Пять тревожных признаков

  1. Расходы на рекламу растут, а вы видите только рост «конверсий», не денег.
    P&L по маркетингу никто не показывает, разговор заканчивается интерфейсом Директа.
  2. Большая часть бюджета — в автоформатах и сетке.
    На вопрос «как это отбивается в деньгах?» вы слышите общие формулировки.
  3. Бренд даёт большинство заявок, но в отчётах это не разделяют.
    Фактически вы платите за своих же клиентов второй раз.
  4. Очевидные ошибки на сайте и в аналитике живут месяцами.
    Запись без даты, чат без цели, странный трафик из других городов — всё это «поправим потом», но «потом» не наступает.
  5. Нет сценария на случай урезания бюджета.
    На вопрос «что делаем, если завтра режем бюджет на 30 %?» исполнитель плывёт.

6.2. Как выглядит человек, который реально владеет процессом

У такого специалиста:

  • есть картина целиком — от поискового запроса до денег в кассе;
  • есть ограничения: по CPL, доле бренда, доле сетки, объёму экспериментов;
  • есть план на кризис: что делаем в первые 72 часа и в ближайший месяц;
  • есть готовность честно сказать: «в текущей конфигурации реклама не отбивается, нужно менять не только кампании, но и продукт/продажи/позиционирование».

Если хотите структурно подойти к выбору такого человека, посмотрите материал как выбрать директолога и агентство по контекстной рекламе.

6.3. Мини-план кризисного аудита для собственника свадебного салона

То, что сработало в этом кейсе, можно адаптировать под любой салон свадебных, вечерних и выпускных платьев с сопоставимым бюджетом.

flowchart TB S["Симптомы у салона свадебных, вечерних и выпускных платьев:
расходы растут, прибыль почти не меняется"] --> A["Кризисный аудит Яндекс.Директа и сайта"] A --> C1["Срез по кампаниям и CPL:
бренд / поиск / автоформаты / сеть"] A --> C2["Проверка сайта и аналитики"] C1 --> P["Картина по городу-миллионнику:
бренд, поиск, автоформаты, сеть, хвосты"] C2 --> P P --> D{"Что видно по экономике?"} D -->|Есть потенциал| R1["Перестройка кампаний и воронки за 2–4 недели"] D -->|Не сходится| R2["Решение: менять формат, резать расходы или закрываться"]

В более приземлённом виде это выглядит так:

  • Первые 72 часа — сводный отчёт за 3–6 месяцев, отделение бренда от небренда, отключение самых дорогих и бесперспективных связок.
  • Ближайшие 2–4 недели — пересборка ключевых кампаний, наведение порядка в аналитике, настройка логики обработки заявок.

Что можно сделать уже сейчас

Если вы — собственник свадебного салона и видите похожие симптомы, вот список шагов, которые можно сделать без долгой подготовки.

  1. Разделить бренд и небренд в отчётах.
    Попросите у подрядчика отдельный отчёт по запросам с названием вашего салона и города.
  2. Посмотреть, какие кампании реально дают важные обращения.
    Сконцентрируйтесь на заявках и звонках, а не на всех подряд целях.
  3. Пройти путь клиента через сайт.
    Запишитесь на примерку, посмотрите, что вы чувствуете как пользователь и где возникают вопросы.
  4. Сделать мини-аудит с помощью GPT.
    Используйте инструкцию как найти 90 % типичных ошибок в Яндекс.Директе за 20 минут с GPT, чтобы быстро проверить ключевые отчёты и подготовить вопросы подрядчику.
Если нужна помощь с кризисным аудитом

Я регулярно помогаю салонам и розничным проектам с бюджетами от 300–500 тыс. ₽ в месяц разбирать Директ «на языке денег»: где реклама отбивается, где тянет бизнес вниз и что нужно поменять в кампаниях, сайте и аналитике.

Если хотите обсудить именно ваш случай, можно написать мне через форму на сайте или в мессенджер — есть формат краткого экспресс-аудита и углублённого разбора.

FAQ: короткие ответы собственнику салона

Нужно ли сразу увольнять агентство, если цифры похожи на этот кейс?

Не обязательно. Кризисный аудит в первую очередь даёт честную картину: где именно проблема — в настройке кампаний, в сайте, аналитике или в продукте и ценах.

Иногда после аудита агентство продолжает работу, но уже по жёстким правилам: есть ограничения по CPL, разделение бренда и небренда, понятный план гипотез на месяц. В других случаях честнее расстаться и искать команду, которая готова отвечать за результат, а не за «количество кампаний».

Сколько времени занимает кризисный аудит и когда виден результат по деньгам?

В этом кейсе основную картину мы собрали примерно за неделю: выгрузили отчёты, проверили сайт и аналитику, зафиксировали ключевые проблемы.

После этого в течение 3–4 недель шла перестройка кампаний и аналитики, а первые ощутимые изменения по CPL и P&L салон увидел примерно через 1–1,5 месяца. Сроки зависят от бюджета и состояния аккаунта, но в большинстве розничных ниш первые эффекты видны в пределах одного сезона.

Есть ли смысл в кризисном аудите, если бюджет меньше 300–500 тыс. ₽ в месяц?

Полноценный глубокий аудит обычно имеет смысл с бюджетов от 300–500 тыс. ₽ в месяц и выше: на таких объёмах любая ошибка в структуре кампаний или аналитике быстро превращается в десятки тысяч лишних расходов.

Если бюджет меньше, чаще достаточно экспресс-формата: короткий разбор ключевых отчётов, чек-лист правок и базовая настройка целей. Часть такой работы можно сделать самостоятельно по инструкции как найти 90 % типичных ошибок в Яндекс.Директе за 20 минут с GPT.

Чем такой аудит отличается от «бесплатных аудитов», которые предлагают агентства?

Бесплатные аудиты чаще всего служат входом в продажу: их задача — показать пару поверхностных ошибок и плавно подвести к коммерческому предложению.

Задача кризисного аудита — другая: собрать полноценную картину по деньгам (P&L рекламы), понять, где именно утекает бюджет, и сформировать план действий на 2–4 недели и на сезон, независимо от того, кто будет этим планом пользоваться — вы, текущий подрядчик или новая команда.

Насколько безопасно давать доступ к Яндекс.Директу и аналитике для аудита?

Для работы по аудиту достаточно гостевых доступов к Яндекс.Директу, Метрике и другим системам — без возможности списания средств и изменений платёжных реквизитов.

Перед началом аудита я всегда фиксирую список доступов, формат отчётности и сроки, а после завершения работы доступы можно ограничить или полностью закрыть. Это стандартная практика, которая позволяет сохранить контроль на стороне собственника.

Бесплатный аудит Я. Директ с индивидуальным планом защиты от скликивания

Закажите аудит!

Снижение цены лида
30%

Аудит на понятном языке

Разделы
Информация
11 лет опыта
Бесплатный аудит
Сертифицированный специалист
Гарантия роста лидов
Даниил Нехамин